探花系列

您所在的位置: 探花系列  >  学术研究  >  学术报道  >  正文

慕尼黑大学Hannes Leitgeb教授在线讲演“语义分析性和卡尔纳普逻辑主义”

点击次数:  更新时间:2025-04-11

本网讯(通讯员 杨新宇)4月9日晚,德国慕尼黑大学教授Hannes Leitgeb通过网络平台作了题为”语义分析性和卡尔纳普逻辑主义“的讲座。Leitgeb教授在知识论、逻辑学和科学哲学方面作出了具有国际影响力的工作,2024年荣获德国莱布尼茨奖。本场讲座由探花系列 程勇教授主持,美国凯斯西储大学Colin McLarty教授评论,线上参与者达250余人次。

Leitgeb教授的讲座以对哲学家卡尔纳普的逻辑主义思想的回顾开始。作为20世纪知名的哲学家,卡尔纳普是逻辑经验主义和维也纳学派的主要奠基人。他受弗雷格影响,提出了关于数学基础的逻辑主义观点,即:

(1) 所有数学术语都可以被逻辑术语定义;

(2) 所有数学定理都可以基于数学定义和逻辑公理推导出来,即所有数学定理都是在弗雷格意义上分析的。

然而,Leitgeb教授指出他对卡尔纳普的逻辑主义的兴趣并不是纯粹历史的,相反,他关心的乃是数学哲学。这场讲座的主要目的是论证一种拟卡尔纳普逻辑主义的数学哲学,该观点断言:存在一种逻辑主义的概念框架使得

(1) 所有数学术语都可以被逻辑术语精确定义;

(2) 所有数学定理很可能是语义分析的,或者称之为卡尔纳普意义上分析的。

为了精确地论证这一观点,注意到已知的数学都可以在二阶公理集合论ZF2[∈,Set]中被形式化,因此可以更精确地表达上述观点为:

存在一种逻辑主义的概念框架使得

(a) 所有ZF2语言上的项都可以被逻辑的项精确定义;

(b) 所有ZF2的定理很可能是语义分析的,或者称之为卡尔纳普意义上分析的。

这里的语义分析概念不同于弗雷格意义上的分析,它可以允许诸如真这样的语义概念。

Leitgeb教授指出以上观点并非卡尔纳普所持有的,因此他本人的工作是系统性的而非历史性的。

接下来,Leitgeb教授详细地介绍了他的论证。

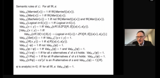
第一步是用逻辑的方式定义集合的属于关系。ZF2的非逻辑符号有两个:二元关系∈和一元关系Set。ZF2以公理的方式“隐式”定义了集合及其属于关系。为了更清晰地定义集合和属于关系,我们不妨把ZF2的谓词的记号用不隐含意义倾向的R和S替代,即ZF2[R,S]。利用希尔伯特的不定摹状词算子ε, Leitgeb教授给出了集合和属于关系的逻辑定义:

属于关系就是某个满足存在S使得ZF2[R,S]成立的关系R。在形式的元语言中可以写作:

∈≔ ε R ∃S ZF2[R,S]。

而x是一个集合当且仅当存在y 使得x∈ y。即∀x: Set(x)↔ ∃ y(x∈ y)

Leitgeb教授还介绍了另一种更精细的定义,即在属于关系上加上如下要求“凡满足S的x必须是在给定的概念框架中为逻辑的”,即

∈≔ ε R ∃S(∀x(S(x)→ Logical-in-C(x))∧ ZF2[R,S])。

通过对集合和属于关系的定义,Leitgeb教授完成了(a)的论证。

第二步是引入语义分析和逻辑主义框架的概念。由ε算子的性质,可以得到

(卡尔纳普语句) ∃R∃ S ZF2[R,S]→ ZF2[∈,Set]

因此由语义分析对逻辑推演封闭,只要说明

(拉姆齐语句)∃ R ∃ S ZF2[R,S]

是语义分析的,就可以得到ZF2[∈,Set]的语义分析性。然而,像拉姆齐语句这样的存在性命题可能是语义分析的呢?对于卡尔纳普而言,这依赖于所在的概念框架(即对语言的内涵性解释的或语义系统)。

接下来,Leitgeb教授从哲学和技术两个角度对概念框架进行了介绍。

从哲学上看,概念框架意味着以特定方式结构化语言所表达的信息,从这个意义上类似于康德对时空的先验理解,然而不同于康德,直觉并不在卡尔纳普式的框架中起作用,框架是独立于外在的经验世界的。卡尔纳普进一步认为数学所研究的乃是逻辑框架所给出的抽象结构。

从技术上看,我们这里考虑的逻辑框架可以形式地定义为:

(i) 二阶对象语言L,包含∈, Logical-in-C等谓词和ε算子,以及如“单身汉”这样的摹状词。

(ii) 在高阶元语言上形式化的L的语义规则。

(iii) 一族语义可能的世界,对于其中的每个世界而言,L的初始的摹状词被解释为该世界上的一些个体,并且该世界的真值通过语义规则被确定。

Leitgeb教授随后详细地列举出了语义规则,类似于塔斯基的真定义。由此,我们可以形式化语义分析的概念:

L上的公式φ相对于框架C 是分析的,当且仅当对任何C上的可能世界M和变元赋值s, φ 在M,s下都为真。

第三步是讨论拉姆齐语句的分析性。

通过语义规则,我们可以证明拉姆齐语句的分析性等价于是否存在关系R,S使得ZF2[R,S]成立。尽管无法确证这样的关系R,S存在,但是常规数学预设了这样的关系存在,并且集合论学家认为强不可达基数的存在意味着ZF2[R,S]有模型,而集合论学家普遍相信强不可达基数存在。基于此,我们可以论证“存在关系R,S使得ZF2[R,S]成立”有极大的置信度。

因此,Leitgeb教授得出结论:尽管我们不能绝对无疑地说全部数学是分析真的,但可以说全部数学很可能是分析真的。

在评论环节,McLarty教授首先感谢了Leitgeb教授带来的内容精彩而丰富的讲座。McLarty教授随后提出了这样一个问题:集合论一致性的认识论地位是什么?McLarty教授对数学家都预设了这一信念表示怀疑。 Leitgeb教授回应道,他认为可以合理地说一般的数学家预设了集合论的可靠性,即使对于集合论学家,他们也有理由相信集合论是真的,Leigeb教授引用了Hrbacek和Jech的集合论经典教材中关于强不可达基数存在的直觉论证来说明这一点。McLarty教授进一步追问道,连续统假设是否也可以说有类似的知识论地位?Leitgeb教授认为答案是肯定的,尽管二阶公理集合论不能证明连续统假设,但是连续统假设仍然是分析命题,Leitgeb教授同时指出卡尔纳普本人也有类似的看法。此外,线上的其他观众就逻辑框架的相对优越性等问题和Leitgeb教授展开了讨论。最后,程勇教授感谢Leitgeb教授带来的精彩讲座,本场讲座圆满结束。

(编辑:邓莉萍  审稿:刘慧)